前回からの続き。

- 作者: ロビン・ダンバー,鍛原多惠子
- 出版社/メーカー: インターシフト
- 発売日: 2016/06/20
- メディア: 単行本
- この商品を含むブログ (3件) を見る
さて、この記事では いよいよ、脳とライフスタイルの進化を辿っていく。まずはアウストラロピテクスから始めてホモ・ハイデルベルゲンシスまで辿り、次回はホモ・ネアンデルターレンシス(ネアンデルタール人)とホモ・サピエンス(ヒト、現生人類)に進もう。
類人猿とアウストラロピテクス
著書の第4章「第一移行期:アウストラロピテクス」の最期の節「アウストラロピテクスの社会生活」のまとめの部分に以下のように書かれている。
[アウストラロピテクスが]チンパンジーのように散在する小集団で食べ物を探したとすれば、乱交した可能性がいちばん高い。メスが広範囲に散らばっているなら、数等のメスを同時に守ることができないからだ。しかし、すでに述べたように、実りのある豊かな湖のほとりや河川の氾濫原を大集団で食べ物を探したとすれば、マントヒヒやゲラダヒヒ、ゴリラのようなハーレム型の他婚だった可能性がある。コンゴ西部のバイに暮らすゴリラのように、一頭のオスが守る小規模のハーレムが、仲間のオスのハーレムと共同体を形成して一緒に食べ物を探したのかもしれない。氾濫原で捕食者に対する抑止力を得るために、ハーレムどうしが大きな集団をつくって食べ物探しに励むには、それぞれのオスは互いにより寛容になる必要があったはずだ。もしそうであれば、これがアウストラロピテクスのオスの犬歯が大幅に縮小した理由かもしれない。
出典:ダンバー氏/p127
節の始めに書いてあることだが、チンパンジーとアウストラロピテクスは同等の脳の大きさで、同等の共同体の規模を持っていた。共同体の規模(ダンバー数)は50頭/人(p165)。
しかしアウストラロピテクスとチンパンジーは生活環境が違う。
気候変動により熱帯雨林の周縁からあぶれてしまったアウストラロピテクスは食料源が豊富で被捕食リスクの少ない氾濫原で生き延びるしかなかった(それ以外の場所で生活した仲間は捕食されて全滅したのだろう)。
アウストラロピテクスの時代の社会的グルーミングの進化については、この本には書かれていない。チンパンジーと同程度の脳しか持っていなかったためだろうか。とりあえず、アウストラロピテクスは身体的進化とライフスタイルの変更により存亡の危機は回避された(アウストラロピテクスのしんかについては記事「アウストラロピテクス ~森林からサバンナへ?~」などで書いた)。
初期ホモ属(ホモ・エルガステル/ホモ・エレクトス)
著書における「初期ホモ属」はホモ・エルガステル/ホモ・エレクトスを指す。一般に初期ホモ属と言えばホモ・ハビリス/ホモ・ルドルフェンシスを指すが、ダンバー氏はこの両者をアウストラロピテクス属としている。
さて、以前に書いたようにホモ属は開けたサバンナに出て狩猟採集民になる生存戦略を採った。
サバンナに出れば捕食者(肉食獣)に襲われ無いための対策を考え出さなければならない。この対処としてホモ属は多人数の野営集団(バンド)を形成して夜を過ごすことにした(と思われる)。
しかし、集団が大きくなるに連れてストレスも大きくなる(共同体の規模:75~80、p165)。このストレスを減らす手段が社会的グルーミングとなるわけだが、大集団全員に(意味どおりの)毛づくろいをする訳にはいかない。全員にする時間的余裕がない。
初期ホモ属がどのように、社会的グルーミングをしたか?ダンバー氏の解答は「笑い」だった。(p156~)
ここで言う笑いはマンガやテレビを見て発する笑いではなく、顔をつき合わして参加者が同等に共有する(分かち合う)笑いだ。これにより、参加者全員がエンドルフィンの作用を経験し、社会的グルーミングが成り立つことになる。
しかし、この場合の笑いの「全員」という平均で3人。上限は4人だが、4人を超えると会話は2つに分かれる。
3人は少ないと思うかもしれないが、3人でも毛づくろいの3倍の効果がある。毛づくろいは してもらう方だけがエンドルフィンの作用を経験するが、笑いは3人でその効果を共有する。
注意すべきことは、ホモ・サピエンス以外のホモ属は言語を持たなかったので、笑いをつくることが難しいことだ。共に過ごした中で偶発的に起こる笑いが中心だったかもしれない。(p218)
旧人/ホモ・ハイデルベルゲンシス
ダンバー氏の言う「旧人」は、アフリカに60万年前に現れたホモ・ハイデルベルゲンシス(ハイデルベルク人)のこと(というか翻訳者がこのように訳した)。ヨーロッパ、西アジアに拡散した。(p171)
ダンバー氏は、この種は突如として出現した、と書いているが、アフリカにおける90万~60万年前頃の人類化石記録が乏しいため*1、進化が突然だったかどうかは分からない。
また、ホモ・ハイデルベルゲンシスがどのような環境で進化したかについてはよく分からない(この本にも書かれていない)。
ホモ・ハイデルベルゲンシスはホモ・エレクトスと比べて かなり大きな脳を持って出現したのだが、50万年前から縮小した後に30万年前になって再び急激に脳を拡大させた。
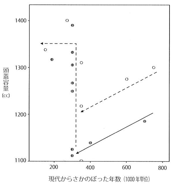
ホモ・ハイデルベルゲンシスの個々の標本の頭蓋容量を時間軸にそって示す。
● 高緯度個体群(ヨーロッパ)
○ 低緯度個体群(アフリカ)
30万年前までは、気温の降下と緯度の付加的な効果により、時の経過とともい脳の大きさが減ったが、その後これらの制限条件から開放されたことをデータが示している。この制限条件からの解放は、料理に常時火を使うようになったこと、暖かさ、そしてとくに活動時間の長期化とかかわっているかもしれない。
出典:DeMiguel & Heneberg (2001)出典:ダンバー氏/p179
上に書いてあるように、脳を拡大させたものは料理を含む火の使用だった。料理により腸の縮小が脳の拡大を促した(不経済組織効果、前回の記事参照)。脳の拡大分のエネルギーは火を利用することによって暗くなっても活動できたことで補える。そして暖を取ることによってエネルギー消耗を防いだ。さらにものを食べるとエンドルフィンが活性化するので、大勢で焚き木を囲んで料理を食べれば、社会的グルーミングの効果が期待できる。
ホモ・ハイデルベルゲンシスの共同体の規模:110人(p192)。
高緯度個体群と低緯度個体群の差が一気に縮んだor無くなったのは火の使用のおかげだ、とダンバー氏は主張する。
*1:アフリカにおける後期ホモ属の進化<ブログ「雑記帳」2017/11/29 参照
